瑞柏生物科技股份有限公司
最新消息
促銷DM
展會資訊
公告
關於瑞柏
產品分類
廠牌介紹
專刊特區
分子生物技術
細胞相關研究
熱門領域研究
生醫年會專刊
儀器設備
常見問題
Minimate EVO Tangential flow filtration 切向流過濾系統
組裝操作影片
常見問題解答
如何組裝Minimate
濃縮離心管相關
西方墨點(WB)相關
過濾相關
重組蛋白相關
聯絡我們
Line
詢價車
0
詢價結果
產品分類列表
細胞實驗
自由基&抗氧化 ROS & Antioxidant
產品明細
Glutathione Reductase (GR) Activity Assay Kit 穀胱甘肽還原酶活性分析套組(呈色法)
產品編號
E-BC-K099-M
產品規格
96 Tests
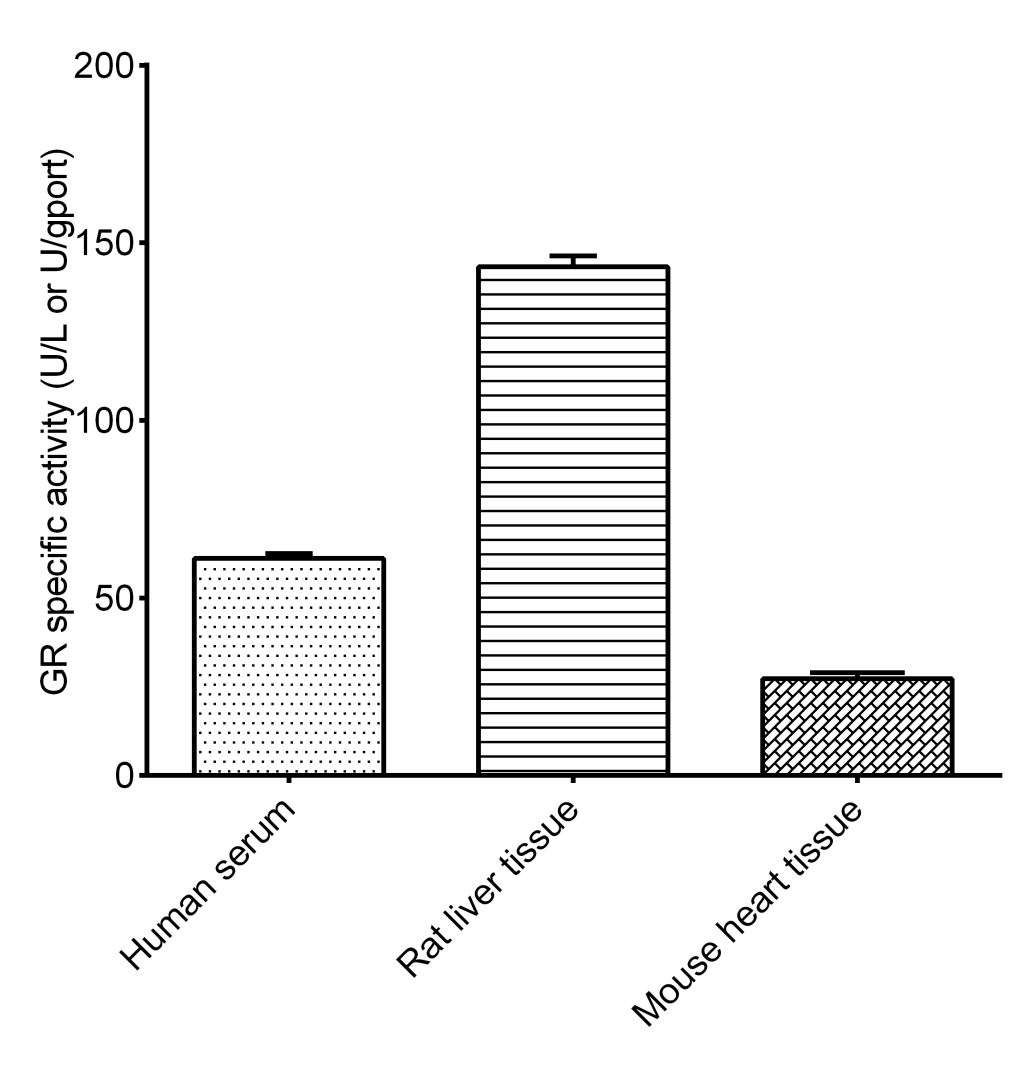
Glutathione Reductase (GR) Activity Assay Kit 為一種快速簡便的方式,可用於測量血清、血漿、組織、細胞等樣本中穀胱甘肽還原酶 (Glutathione Reductase, GR) 的活性。
我要詢價
處理中請稍候...
商品詳細介紹
Product Introduction
此套組是以還原型輔酶 (NADPH) 為氫的提供者,將氧化型穀胱甘肽 (GSSG) 還原為還原型穀胱甘肽 (GSH),NADPH 吸光值的降低可於 340 nm 處測定。透過檢測NADPH 的變化,即可計算穀胱甘肽還原酶 (Glutathione Reductase, GR) 的活性。
訂購資訊
貨號
品名
偵測
包裝
E-BC-K099-M
Glutathione Reductase
(GR) Activity Assay Kit
340 nm
96 Tests
回列表頁
購物車
0
會員登入
購物須知